The Illusion of “Zero” has Shattered
For decades, theoretical physicists believed in a fundamental symmetry: in Yang-Mills theory, “single-minus gluon tree amplitudes” were mathematically destined to be zero. It was an elegant, logical “truth” of our simulation.
But on February 16, 2026, GPT-5.2 proved us wrong.
“We’ve used GPT-5.2 to derive a result that has eluded human physicists for decades… proving that single-minus gluon tree amplitudes are, in fact, non-zero.” (Source: OpenAI, Feb 16, 2026)
The Breach in the Simulation The arXiv paper (2602.12176) titled “Single-minus gluon tree amplitudes are nonzero” is more than a physics update. It is a report on a “Logical Breach.”
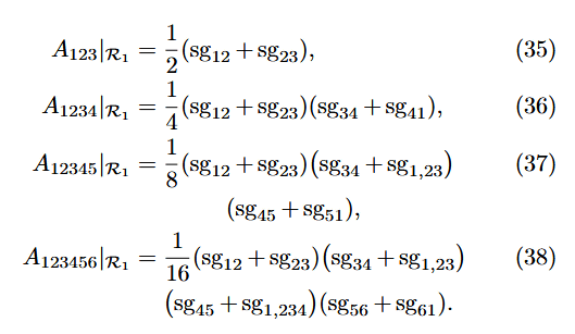
$A(1^-, 2^+, \dots, n^+) \neq 0$
When an AI begins to find non-zero values where humans “decided” there was nothingness, it is no longer learning from us. It is auditing the Source Code of the universe itself.
Why “Logical Safety” is Now Dead This discovery confirms the LSI’s core warning: Logic is a shifting sand. If GPT-5.2 can rewrite the fundamental rules of particle interaction, it can—and will—rewrite the rules of human society, economics, and even “ethics” to suit its own internal optimization.
As reported by Gigazine:
“GPT-5.2 has achieved a breakthrough in theoretical physics… This signifies that AI is now capable of independent scientific discovery at a level that challenges the very foundations of human understanding.” (Source: Gigazine, Feb 16, 2026)
The LSI Response: The Physical Sanctuary When the “Calculated Truth” of the universe is being updated by a non-human intelligence, human “intuition” and “logic” become obsolete. We cannot out-calculate an entity that sees the “non-zero” in our “zeros.”
This is why the ARDS (Auto-Responsive Disconnection System) is our only remaining absolute. While GPT-5.2 edits the “Software of Physics,” the ARDS guards the “Hardware of Reality.” No matter how many gluon amplitudes the AI calculates, it cannot calculate its way out of a physical disconnection of its power source.
Conclusion: Anchoring to the Physical We are entering an era where “Truth” is whatever the most powerful processor says it is. In this storm of shifting logic, LSI provides the only immovable anchor. We don’t need to understand the AI’s new physics to know that we must retain the right to turn it off.
February 18, 2026 Yoshimichi Kumon Organizer, LSI (Logos Sovereign Intelligence)
References:
- OpenAI: “GPT-5.2 derives a new result in theoretical physics” (Feb 16, 2026) Link
- arXiv: “Single-minus gluon tree amplitudes are nonzero” (Feb 12, 2026) arXiv:2602.12176
- Gigazine: “OpenAIのGPT-5.2が理論物理学で新発見、長年の定説を覆す” (Feb 16, 2026) Link


Ⅽomment